带钢悬垂曲线方程组及其约束条件
浏览:次|评论:0条 [收藏] [评论]
摘要:带钢悬垂是带钢连续处理线中常见的情形,从数学和力学方面对带钢悬垂曲线函数和带钢张力进行分析,推导出了带钢悬垂曲线方程组,同时给出了使用该方程组的2个约束条件。在带钢连续处理机组设计时,可以参考使用。
关键词:带钢;悬垂曲线方程组;约束条件
1 前言
带钢悬垂是带钢处理线中常见的情形,对于同一种规格的带钢,不同的带钢张力对应不同的悬垂曲线。目前对悬垂曲线的形状尚没有实用的计算方法,而没有曲线则不能精确地反映带钢张力对支点处的作用力;而且,在带钢悬垂段布置与带钢高度有关的工艺设备时就难以精确定位。为此,研究了带钢张力与悬垂曲线的对应关系,并提出了设计计算方法,为带钢连续处理机组的优化设计和控制提供了依据。
2带钢悬垂曲线方程组
2.1悬垂曲线函数的建立
为推导悬垂曲线函数,首先建立直角坐标系,如图1所示。悬垂左支点即带钢与转向辊的切点O为坐标原点(0,0),实际上该切点的位置是随带钢曲线的变化而变化的,为了方便计算,取转向辊的最高点为坐标原点;悬垂右支点即带钢与转向辊的切点为Q(x1,y2),同样,取右端转向辊的最高点为右支点坐标。设带钢的悬垂曲线函数为y=ax2 bx c,未知的谷底为P点(x1,y1),悬垂曲线函数表达式为:

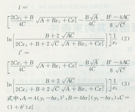
2.2悬垂带钢长度
对式(1)求导,并在[0,x2]、[0,x1]区间内进行积分,得到两支点间的带钢长度l及左支点到谷底P点的带钢长度l′:

2.3计算悬垂曲线谷底P点的坐标
对式(1)求导,将悬垂曲线谷底P点的坐标值x1和y1代人,得:

2.4左右两支点的垂直支反力
2.4.1悬垂带钢的质量
m=l·g·q,m1= l′·g·q,m2=m一m1(6)式中,m为悬垂带钢的质量,kg;l为悬垂带钢长度,m;q为单位长度带钢质量,kg/m;m1为左支点O到谷底P的带钢质量,kg;l′为左支点O到谷底P悬垂带钢长度,m;m2为谷底P到支点Q的带钢质量,kg。
2.4.2带钢重心坐标的求解
整个带钢的重力为mg,其作用点(即重心)为W(x3,y3),如图2所示。设在带钢悬垂态下微段dx上的带钢质量为q′,q′与该微段dx处于悬垂曲线上的位置有关,其分布状况如图2所示。q′与单位长度带钢的质量q的关系为:
q
q′=――――――― (7)
cos(arctan y′)
式中,q′为微段dx上的带钢质量,kg/m;q为单位长度的带钢质量,kg/m。
因为各微段dx相对带钢重点的合面矩为零,所以有:

2.4.3左右支点的垂直支反力
为了简化思路,设定带钢不产生抵抗弯矩,即带钢本身的抵抗弯矩为0,因此有:
FOy·g·x2=mg·g·(x2一x3)
FQy·g·x2=mg·x3 (10)
将式(9)代人式(10)有:
FOy=ml g,FQy=m2g (11)
上述式中,FOy、FQy分别为带钢左、右支点的垂直支反力,N。

2.5 带钢张力
当两端支点位置固定后,带钢两端张力和带钢单位质量决定着曲线形状,带钢两端张力的方向是沿带钢的切线方向,两端支点上的垂直支反力实质上是带钢张力在垂直方向上的分量。因此:
FO=FOy/y′O (12)
y′O为带钢左支点切线的斜率,y′O=dy/dx=b。
所以 Fo=FOy/b=m1 g/b (13)
同理 FQ=m2ggx2/(2y2一bx2) (14)
上述式中,FO、FQ分别为左、右支点处带钢的张力,N;b为带钢悬垂曲线函数中无因次量参数。
2.6左右支点同高的带钢悬垂曲线方程
当左右支点高度一致,此时Q点坐标为(x2,0),将该坐标值代入以上各式,即可求出带钢悬垂曲线方程。
3 带钢悬垂模型使用的两个约束条件
前面推导模型的基础是假设带钢不产生抵抗弯矩,而实际情况并非如此,任何一种带钢只要存在断面和材料强度,必然存在固有的抵抗弯矩。但是,对于两端等高且没有水平张力的带钢(简称自由带钢),在带钢谷底处,当带钢自重产生的弯矩使带钢发生弹性变形,随着两支点距离的增大,悬垂带钢谷底处变形将越来越大。因此不难理解,带钢悬垂模型适用范围的约束条件应该是自由带钢发生的变形程度,反之,当带钢左右两支点距离小到一定范围时,带钢自重在带钢谷底处产生弯矩小于带钢抵抗弯矩,则此时带钢的受力情形就变成了梁的变形行为。
3.1 带钢的变形曲率极限
纯弯曲时带钢的纵向纤维发生弯曲,如图3所示,根据带钢的几何变形方程得:
H
εt=±—-
2ρ
(15)
式中,ρ为在悬垂带钢谷底处带钢中性面的曲率半径,m;H为带钢厚度,m.εt为带钢表面的弹性应变值。

根据虎克定律有εt=σt/E,代入式(15)得:
1 2σt
—=±------ (16)
ρ HE
式中,σt为弹性应力,MPa;E为材料的弹性模量,MPa。
从数学可知悬垂带钢曲率几何方程,并且在谷底处y′=0,因此带钢几何曲率为:
1 y″
——=±—————— (17)
ρ几何 (1 (y′)2)3/2
根据前面的分析,在悬垂带钢谷底处带钢自重产生的弯矩要大于带钢的抵抗弯矩,此处的几何曲率就必须大于力学曲率,因此将式(16)和式(17)联立得不等式:
2σt
y”≥—— (18)
HE
对式(1)进行2次求导,并代入式(18),得:
2(y2-bx2) 2σt
————————≥—— (19)
X2 HE
对于自由带钢,y2=yO=0,整理后得:
σt
b≤- ----- (20)
HE
设带钢表面的弹性变形应力σt和材料的屈服强度σs的比值为φ,因此有:
φσs
b≤— ――――― (21)
HE
式(21)表明,在求解带钢悬垂曲线方程组时,b必须小于0。
3.2悬垂谷底的带钢极限弯矩
带钢自重在带钢谷底产生最大弯矩,当此处带钢表面的弯曲应力超过材料屈服强度时,带钢自重产生的弯矩将大于带钢的抵抗弯矩,可得:

式中,L’为悬垂带钢最小跨度,m;H为带钢厚度;σs为带钢屈服强度,MPa。
式(22)表明,在求解带钢悬垂曲线方程组时,x2≥L′。
综上所述,带钢悬垂曲线的求解如图4所示。

4 结论
(1)建立了带钢悬垂曲线方程,确定了带钢张力与带钢悬垂曲线的关系。
(2)给出了带钢悬垂曲线方程的2个约束条件,满足该约束条件,带钢悬垂曲线方程可用于工程设计。
- [腾讯]
- 关键字:无

加入收藏
首页



