板形测量辊输出信号处理方法的研究与应用
来源:刘佳伟, 张殿华, 王鹏飞, 王军生 |浏览:次|评论:0条 [收藏] [评论]
板形测量辊输出信号处理方法的研究与应用
刘佳伟1, 张殿华1, 王鹏飞1, 王军生2
(1.东北大学轧制技术及连轧自动化国家重点实验室,辽宁沈阳110004;2.鞍钢股份有限公司,辽宁鞍山114001)
摘 要:板形测量值是板形控制系统中的重要组成部分,它的准确性直接关系到板形控制的效果。研究了1780冷连轧机板形控制系统的板形检测原理及控制方法。通过对数据处理方法的分析,应用通道数确定、插值和滤波等方法对检测数据进行处理,能够有效地抑制板形检测数据中的干扰影响,提高了测量系统的抗干扰能力。用这种数据处理方法对实测板形值进行了处理,取得良好效果,充分说明这种数据处理方法是1种理想的板形数据处理方法。
关键词:板形检测;带材信号处理;插值;滤波
作为冷轧薄带钢最重要质量指标之一,板形的控制效果直接决定产品的质量。特别是近年来由于AGC系统的不断完善和广泛采用,板带的纵向厚度精度越来越高,相比之下,板形问题就变得日益突出[1]。作为板形控制系统的反馈值,板形测量值的准确性直接关系到板形控制系统的控制效果。板形辊作为在线板形测量仪器,对其测量信号进行准确的数学处理,进而使之能够精确地转化为实测板形值对闭环反馈板形控制系统至关重要[2]。
1 板形测量系统
1.1板形检测原理
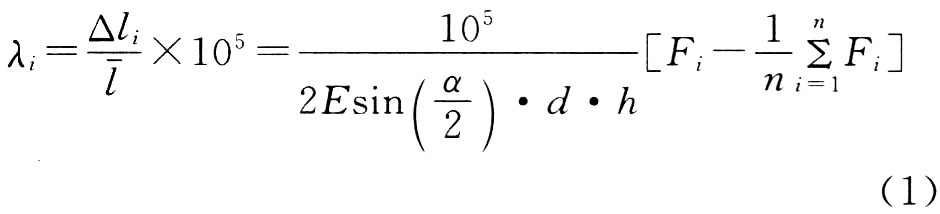
在轧制过程中,轧机和卷取机之间的带钢承受着一定的张力,在这张力的作用下,板形表面的缺陷就被掩盖起来,但这时带钢的内部应力分布是不均匀的。由于带钢中的张应力沿横向的分布与带钢的纵向延伸有关,所以通过测量板材弹性延伸决定的张应力分布,即可得到板形结果。则板形值λi为:

式中:△li为带钢宽度方向上的各点的纵向延伸;
为平均延伸;E为弹性模量;α为带钢在板形辊上的包角;d为第i个测量段对应的带钢宽度;h为第i个测量段对应的带钢厚度;Fi为各测量段上的带钢径向力。
由上式可知,只要测得板形辊上所受带钢径向力大小,就可以得到带钢板形值。
1.2 板形辊结构及工作方式
1780轧机板形自动控制系统采用德国SUNDWIG公司提供的BFI新型张应力测量辊。此板形测量辊采用实心辊体,通过辊面上埋入的压电晶体压力传感器测量带钢对辊面的压力,具有测量线性度和抗干扰能力。测量辊面分52个测量区段。1个测量区段内只配置1个测量传感器,52个压力传感器按一定的规律分布于辊面的9个角度位置上,并被划分为9个通道,板形辊数据处理与传输原理如图1所示。压电石英传感器在带钢径向压力作用下产生电荷信号,这些电荷信号经过电荷放大器转变为电压信号,再经滤波、A/D转换、编码,然后通过红外传送将测量信号由旋转的辊体中传递到固定的接收器上,再经解码后传送给板形计算机[3]。

2 板形检测信号处理方法
通过数据处理或抑制动态测试误差,可减少大量设备投资,成为当前提高测试精度的关注焦点。将板形检测信号视为一动态时间序列,并采用插值与信号滤波同时并行的时序分析,从检测信号中获得实际板形的最佳逼近[4]。顾及算法的稳定性、可靠性和计算速度,因此采用了如下数据处理算法。将动态测试数据处理理论应用于板形检测,建立1种通用且能满足实时控制要求的板形检测信号除噪方法,对板形控制具有重要实用价值。
2.1 板形检测辊信号有效通道个数的确定
板形测量辊的有效通道个数由带钢宽度按着下述公式来确定。分为两种情况,一种情况是右侧和左侧同样个数的通道为有效通道;另一种情况是带钢边缘所在的通道,如果超过传感器宽度的50%未被带钢覆盖,则这个信号为无效信号。如图2所示。

板形检测信号将完全覆盖的传感器作为有效的信号通道,并且将覆盖50%或以上的传感器作为边缘传感器。

2.2板形测量数据的确认和校正
板形检测辊的检测信号由于受到噪声和外部干扰的影响,此时的信号不能作为有效信号处理[5]。因为数据含有异常值(超出上限值和下限值),故用下述方法消除:
1)在除去2个边通道之后,异常值出现在3个或更多个通道中时。
2)两侧的任意一侧具有2个通道显示连续异常值。
2.2.1数据舍弃和插值
1)舍弃
当边缘部分两侧中任意1侧的1个通道显示异常值时,则将舍弃两侧通道中的两个通道。
2)插值
当两个连续通道或1个不处在边缘的通道显示异常值时,则缺陷通道的数据从2个相邻通道插值。当两个通道异常时如图3所示,用如下公式进行插值:


当满足下述条件时,则判断数据为异常,并且执行插值(边缘除外)。
当|(yi一yi-1)(y i 1一yi)(2yi一yi-1一y i 1)|>δ时。插值为:

式中:δ为限定值;i为通道数。
2.2.2板形数据滤波
为了达到改善控制稳定性,对每个传感器执行带钢宽度方向的平滑处理和时间方向的平滑处理[6]。
1)带钢宽度方向的平滑处理
为了平滑处理带钢横向的板形数据,用横移平均值执行滤波:

式中:i=2,N—1通道数;yi为板形数据;N为有效通道数。
2)时间方向平滑处理
用检测仪表对y值进行检测,得到实测值y,其中包括测量误差δy。y作为实测信息输入板形控制系统,y中不仅包含过程状态的变化,还包含各种随机因素,如仪表的测量误差等[7]。为了得到准确的测量值,对于板形数据的时间方向的平滑处理来说,则引入指数平滑处理。该方法的实质就是既要考虑到y所带来的有关过程状态变化的信息,也要考虑到它可能包含的随机误差,即不能全部否定y的真实性[8]。
yi,j=εyi,j-1 (1一ε)Φ(yi,j一yi,j-1) (8)
式中:ε=1/t,0<t<1;t为一次延时系统时间;i为通道数;j为采样时间。
ε的取值是应用这一公式的关键之一,ε取多大可从以下两方面来考虑:
1)实测值的可信程度。如果实测值可信度高,则ε可取大值;如实测值可信度低,则应取小值,甚至取0。
2)例如误差较大时,要求快速修正,则ε取大值;经多次修正后误差已很小,为了保持稳定,ε应取小值。因此随着修正次数增加,应逐渐减小ε值,直至最小值后固定不变。也可根据误差减小而使ε值变小并最终固定于最小值。
3 应用效果
通过对检测信号的处理使最终实际板形与轧制时在线实测的板形吻合较好,从而消除了干扰信号对带钢板形的影响,获得了良好平直度的带钢。该板形控制功能投入使用以后,轧后钢板板形质量有了很大提高。在正常轧制速度(600~1 200m/min)下,轧后钢板的平均板形偏差控制在130μm/m以下,在高速稳定运行时达到了70μm/m,取得了良好的板形控制效果,如图4所示。
4 结语
1)目前应用的冷轧板带材板形检测辊主要是接触式板形辊。就板形辊的测量数据的处理进行了研究,并对数据的滤波、平滑处理等进行了详细说明。

2)该板形数据处理方法已成功应用于1780轧机中,取得良好的效果,通过把检测输出信号处理方法应用于实际生产中,提高了板形检测系统的精度,使带钢的板形质量达到了较高的水平,产量亦稳步提高。

- [腾讯]
- 关键字:无

加入收藏
首页



