热轧高强度厚板带钢的卷取分析及改进
来源:李 林 |浏览:次|评论:0条 [收藏] [评论]
热轧高强度厚板带钢的卷取分析及改进
李 林
(上海交通大学、宝钢股份公司热轧厂)
摘要 通过对高强度厚板产品的卷取过程机理分析及厚板带钢的卷取受力分析,推导并计算出了宝钢2050热轧卷取机的厚板卷取能力,并通过对卷取能力及能力参数的分析与计算,找出了厚板卷取失败的主要影响因素,并据此制定和实施了有效的改进措施。
关键词 卷取机 助卷辊 弧形板 卷筒 高强度厚板
1 引言
高强度厚板产品(如管线钢、大桥钢等)生产的难度之一主要反应在卷取环节。因为,该类产品一般强度高、厚度大,卷取成形难度大,特别在带钢头部的卷取成形。
宝钢2050 mm热轧厂在生产高规格高强度厚板产品时也多次出现卷取失败废钢问题。下面就以宝钢2050 mm热轧厂为例,从卷取机的卷取能力和高强度厚板的卷取影响因素等方面进行分析,进而制定措施,进行改进。
2 高强度厚板卷取过程及其受力分析
2高强度厚板卷取过程及其受力分析
2.1卷取过程分析
本文主要研究常发生卷取失败且板厚大于15mm以上的厚板卷取,该类厚板产品由于厚度大,其带钢总长度一般只有120~150 m左右,在带钢头部进入夹送辊前,带钢尾部已经离开F7精轧机。因此,厚板的卷送力主要来自辊道的输送力P辊、夹送辊的夹送力P夹、助卷辊与卷筒间的夹送力P助 P筒。
高强度厚板在卷送综合力的作用下要实现缠绕卷取在卷筒上,除了克服相应的摩擦阻力外,最主要的还要克服厚板弯曲时产生的弹塑性变形力。而弹塑性变形力主要存在于夹送辊和助卷辊处。特别是厚板头部在1号助卷辊处能产生弹塑性弯曲变形对厚板的成功卷取尤其重要,因此,下面我们着重分析l号助卷辊处厚板头部的受力情况和弹塑性弯曲变形情况。
2.2卷取受力分析
厚板带钢头部进入1号助卷辊后的位置状况和受力情况如图1所示。
P=(P辊 P夹 P助 P筒一P侧)μ
式中P——卷送综合力,kN;
P辊——辊道的输送力,kN;
P夹——夹送辊的夹送力,kN;
P助——助卷辊的夹送力,kN;
P筒——卷筒的夹送力,kN;
P侧——侧导板的夹紧力,kN;
μ——摩擦系数;
N——厚板头部撞击弧形板后所受的反作用力,kN;
f——弧形板的摩擦阻力,kN。
3 卷取机卷取能力分析
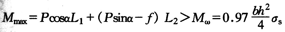
由图1的受力分析我们可以看出:厚板要实现成功卷取,其在1号助卷辊和弧形板处的头部下穿力必须大于摩擦阻力f;同时,力N对1号助卷辊与卷筒的夹紧点所形成的弯曲力矩也必须大于厚板头部的弹塑性变形力矩。因此,我们对卷送力P进行分解得如图2所示的受力分解图。
4 卷取失败分析及改进
通过对卷取机卷取能力的分析与计算,我们可以认为:卷取机的卷取能力对X80以下的各种规格均可成功卷取;而对于低强度的各规格大桥钢也可成功卷取。
但宝钢2050热轧厂在生产X70管线钢和大桥钢(1500mm×21.59 mm)时,时常发生卷取失败而废钢事故,在排除明显的机械阻卡和电气故障的情况下,我们可以从高强度厚板成功卷取需满足的弯曲条件进行原因分析。
从该条件式看出,在轧制规格确定的情况下,卷送综合力P、弯曲力臂L、热态屈服强度σs是卷取成功与否的主要影响参数;再结合上面的卷取受力分析,我们可以确定:
(1)1号助卷辊的踏步控制和辊缝设定不合理,造成1号助卷辊压不紧厚板带钢,从而极大的影响了卷送综合力P的大小,因而,1号助卷辊的踏步控制和辊缝设定不合理是造成卷取失败的一大影响因素。
(2)厚板带钢头部的形状直接决定了厚板头部的进钢状况和进钢后头部撞击在1号弧形板上的位置,从而至关重要的影响着弯曲力臂L的大小,因而,厚板头翘也是造成卷取失败的一大影响因素。
(3)高强度厚板头部的实际卷取温度决定了其热态屈服强度σs,且温度越低,σs显著增大,因此,高强度厚板头部温度偏低或有局部冷点仍是造成卷取失败的一大影响因素。
针对上面的分析,我们制定并实施了如下有效改进措施:
(1)优化1号助卷辊控制方式,使1号助卷辊的第一步踏步不采用踏步控制,而改用压力控制,保证了1号助卷辊在进钢过程中能一直压住厚板带钢;同时,1号助卷辊的辊缝设定附加值取负值,保证助卷辊能压紧厚板带钢,从而,解决了1号助卷辊所造成的卷送综合力P减小的问题。
(2)优化侧导板的控制,在高强度厚板卷取时,侧导板延时靠上(一P侧=0),从而,适当增大了卷送综合力P。
(3)调整精轧机控制参数,使高强度厚板带钢采用微扣头轧制,保证了厚板头部的顺利进钢,而微扣头进钢后,头部在1号弧形板处的撞击接触点会下移,从而增大了弯曲力臂L,大大增强了卷取弯曲能力。
(4)调整层流冷却控制精度,以保证厚板头部温度精度,从而,有效{窄制热态屈服强度σs同时,存保证产品性能的情况下,尽量提高高强度厚板产品的头部卷取温度,以降低其热态屈服强度σs减小头部弹塑性变形抗力,不但有利于解决卷取失败问题,还可进一步提高卷取强度和厚度(该措施目前在研究中)。
5 结束语
通过上述措施的逐步实施,宝钢2050 mm热轧厂X70管线钢卷取失败问题已得到完全解决,而高厚度(h>21 mm)大桥钢的卷取也得到了一定的控制。
参考文献
1 周国盈.带钢卷取设备.北京:冶金工业出版社,1992:140
- [腾讯]
- 关键字:无

加入收藏
首页








