西门子奥钢联连铸创新连续“流”
浏览:次|评论:0条 [收藏] [评论]
西门子奥钢联连铸创新连续“流”
K.M6rwald,M.Hirschmanner,J.Watzinger一西门子奥钢联/奥地利
G.Heigl—voestalpine Grobblech GmbH,奥地利
摘要:很早以前,西门子奥钢联就开始设计连铸机,可以生产出高质量板坯。其中,直结晶器、小辊距以及连续弯曲连续矫直等设计特性已被所有主要连铸机供应商所采用。
接下来,连铸机自动化得到发展,专注于处理非稳态连铸条件。随着热坯宽度变化、中间包快换工艺和浸入式水口更换装置的开发,连浇长度显著提高。此时,根据模块化设计和快速更换部件的需求,西门子奥钢联必须再次专注于相关部分的设计。
随着引入精确、耐用的液压传动装置,在连铸机设定点灵活性方向迈出了重要一步。这涉及到液压振动、结晶器动态宽度调节和冷却喷水宽度调节以及厚度和开口度调节。
今天,在板坯连铸机的设计和操作中,必须考虑到日益重视的健康和安全问题。因此,西门子奥钢联正在开发机器人应用,该应用无需人操控,即可实现连铸。
无论过去还是现在,西门子奥钢联都了解其工业环境中正在发生的变化。我们期望将来被问及的基本问题涉及高灵活性连铸机的更高可维护性、可操作性和安全性。本文将讨论面对这些挑战,西门子奥钢联会有哪些设想和发展。
1.简介
很早以前,西门子奥钢联(Siemens VAI)就开始设计连铸机,可以生产出高质量板坯。其中,直结晶器、小辊距、中间辊支撑以及连续弯曲连续矫直等设计特性已被所有主要连铸机供应商所采用。接下来,连铸机自动化得到发展,专注于处理非稳态连铸条件。随着热坯宽度变化、中问
包快换工艺和浸入式水口更换装置的开发,连浇长度显著提高。
随着引入精确、耐用的液压传动装置,在连铸机设定点灵活性方向迈出了重要一步。这涉及到液压振动、结晶器动态宽度和冷却喷水宽度调节以及厚度和开口度调节。此时,西门子奥钢联再次专注于模块化设计和快速部件更换。而且,通过应用这些概念,西门子奥钢联不仅可为新连铸机提供技术包,而且还可提供升级和改造的技术包[1]。
今天,在板坯连铸机的设计和操作中,必须考虑到日益重视的健康和安全问题。因此,西门子奥钢联正在开发机器人应用,从而可取代钢水区的工人。无论过去还是现在,西门子奥钢联都了解其工业环境中正在发生的变化。尽管如此,西门子奥钢联现在和未来仍将专注于传统领域,或突破板坯连铸应用极限的领域。
2.一个“复杂”案例一高度复杂的控 制
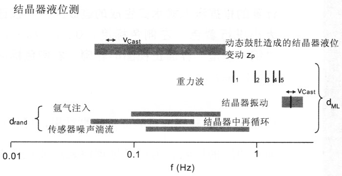
为确保良好的表面质量,优异的结晶器液位控制是绝对的先决条件。西门子奥钢联新型控制系统采用最新控制原理(来自最优控制理论),同时仍然足够耐用,适合在恶劣的钢厂条件下运行。深入了解结晶器液位特性和扰动是新开发的出发点。不同扰动与不同摄动频率范围相关,请参阅图l。

图1:各种结晶器液位扰动的频率范围
某些扰动总是在恒定波长下出现。因此,这些扰动的频率随拉坯速度而变化。一个示例是辊子弯曲,其导致结晶器液位随着其辊周的变化而波动[2]。第二个示例是众所周知的“结晶器液位振荡”现象,其特征是扰动波长与辊节距相关[3, 4]。另一方面,存在与频率相关的扰动,该频率与拉坯速度无关。高频下,这可能由于控制电路不稳定性而产生。如果扰动约1 Hz,则原点最可能在结晶器液位的自由表面波中找到。最后一种现象是本节的主题。
现代控制理论应用的一个先决条件是相关工艺良好的数学模型。过去,用于结晶器液位控制设计的模型在一定程度上是控制理论的基本应用,其忽略了某些重要的限制因素(例如,自由表面波)。
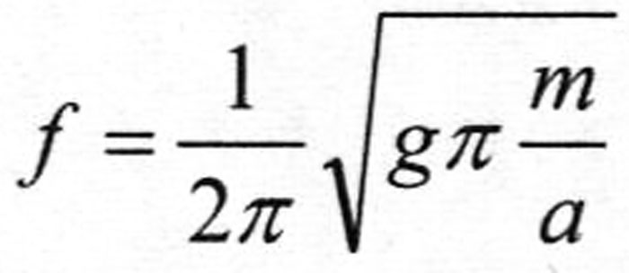
大致说来,结晶器液位控制的关键性能参数是控制增益。控制增益越高,扰动抑制越强。虽然这是一个非常简化的关系,不适用于所有频率范围,因而不适用于所有类型的扰动,但对缓慢扰动的一个良好近似法。当提高一个结晶器液位控制的控制增益时,表面波将会被激励。这限制了可能的最大控制增益,从而也限制了最大扰动抑制。传统方法是在波频率或低通滤波情况下,采用陷波滤波器。此方法可改善上述情况,但同时会导致附加相位延迟,从而再次限制性能。然而,如果将一个良好的工厂模型(包括表面波)用于现代控制器设计(例如,H∞或H2),则可导出最优控制律。众所周知,可用下面的方程式描述表面谐波的频率:

式中,m是节点数,a是弯月面处的连铸宽度。相应的波形在图2中绘出。这里有对称波形(2和4)和不对称波形(1和3)。

图2: 节点1到4的波形
为了导出谐振表面波模型,已经进行了大量水模型试验。图3示出西门子奥钢联水模型试验设施中所激励的对称波形图。

图3:水模型中节点2和4的表面波
收集更多系统特性知识的第二种方法是采用CFD计算(计算流体动力学)。尽管比水模型试验更费时,但CFD法可引入诸如浸入式水口SEN的渣盖等影响(这种效果难以引入到水模型中)。为了研究动态影响,已经提出一种瞬态CFD模型。在数值模拟中,已对包括钢水、液态保护渣和空气在内的紊流多相流动进行了建模。采用k—ε紊流模型、流体体积(vo1ume of fluid)法和界面锐化用地球重建算法。使用相界面区域中的1mm网格和带边界层的六面体非结构化网格,可解算小界面的变形。典型结果的CFD模型设置如图4所示。

图4:多相系统(钢/渣/空气)的OFD设置,所
计算的根据浸入式水口生成的迹线照片(按速度
大小进行着色,左侧色标度:0..1 m/s),和
“钢一炉渣’’界面正视图的轮廓(右侧色标度:
6..12 mm)
借助于CFD建模,可验证水模型结果,可分析例如炉渣层的影响。为更好地理解表面波现象做出的种种努力,导出表面波激励模型。开发SIMETALCIS LevCon v2.0控制器的出发点[5]是H∞,设计方法的应用,该方法采用以下不确定性模型:

式中,p是连铸参数的一个矢量。这里,我们不想做详细探讨一唯一需要注意的是,工厂模型取决于连铸参数,如铸坯宽度。所得出的控制器R(s,p)=kpR0(s)RLS(s,p)分为两部分,一部分对所有连铸条件R0(s)均恒定,另一部分取决于连铸条件RLS(s,p)。此传递函数RLS(s,p)被称为“开环整形器”,由于其以下述方式对开环传递函数进行成形,即,无论连铸参数如何,开环传递函数近似保持不变。
可仅通过控制器的静态部分来运行设备,以便研究开环成形器的效果。对设备进行试验时,关闭开环整形器,同时控制器增益从一个非常低的值开始增加。在靠近稳定极限处,结晶器液位已经出现显著振荡。当达到稳定极限时,结晶器液位振幅开始增大。然后接通开环整形器的电源,结晶器液位振荡几乎立即消失。图5示出这一过程。

图5:稳固开环整形器的效果
将全套SIMETALCIS LevCon 2.0控制器安装到一台双流连铸机上。为便于测试,SIMETALCIS LevCon 1控制器安装在第6流,进行4连浇,从而在连铸条件完全相同的情况下,对新旧控制器的性能进行比较。
在图6中,对测试的关键性能指标进行了比较。很明显,虽然SIMETALCIS LevCon 1控制器显示已经出良好的性能,但SIMETALCIS LevCon 2.0控制器可进一步提高其性能。

图6:相同连铸机双流4连浇的关键性能指标比较
3.一个“简单”案例一具有实际重要 性的小事情
对于专用于生产板带的板坯连铸机,铸流宽度经常改变,特别是在板坯连铸机通过一个热送或直送环节连接到热带材轧机的情况下(“棺材形轧制”)。与此操作惯例相比较,生产中厚板轧机板坯的连铸机板坯宽度在许多炉中保持不变。因此,冷坯角部与宽面的相重叠的区域直接接触,导致结晶器局部磨损增加。

图7:结晶器铜板边缘区域的磨损
如果铸坯边缘从足辊凹槽之一通过,铜板磨损更加严重。引入这些凹槽,是为了减少辊套中所积累的热应力,请参见图7。
通过将该设计变更为螺纹凹槽,凹槽的宽度位置由于足辊的旋转而发生变化,从而可持续防止结晶器过度磨损,请参见图8。

图8:足辊处的螺纹凹槽
从操作来看,结晶器的设计和调节采用以铸坯导向轴为对称轴对称进行的。仅在引锭杆头无法对中的情况下,在开浇时,对结晶器进行偏心调节,并根据最初宽度变化进行对中。可在满拉坯速度下进行此项操作。为了降低结晶器局部磨损,西门子奥钢联以反向思维运用此理念。如果在结晶器中一个铸流可能以偏心方式开始,则可逐步将铸流中心向左和向右移动几厘米。因此,因与铸坯角部相接触而造成的结晶器磨损的区域增加,而局部磨损显著降低。此特性包含在最新版本的SIMETALCIS DynaWidth结晶器宽度调节软件中,请参阅图9。

引入西门子奥钢联板坯连铸机的最新产品创新之一是动态喷水宽度调节。根据浇铸宽度,喷嘴定位在距铸坯表面适当距离处,以便据此调节喷水宽度[6]。迄今为止,此调节和喷水分布一直对称进行,就像结晶器调节一样。为应对铸坯中心线相对于铸坯导向中心线的偏移,必须以不同高度调节喷水,以确保向连铸坯角部喷淋时获得相同的重叠量。作为不同喷嘴调节的另一个结果,并由于不同喷水面积,喷水密度发生变化。只有当铸坯上下表面可以进行不同的流量调节时,才能保证上下表面流量保持恒定。通过将给水分到左侧和右侧(就像分到中心和边部),可克服此
情况。此时,喷嘴的移动和喷水量的调整可以单独控制,从而允许铸坯坯壳对称的热传递[7]。

图1 0:偏心铸流位置进行喷射冷却
4.一个“厚”案例一突破现有I~NtiiJ
板坯连铸开始于立式连铸机,以便尽可能防止铸坯坯壳变形。1961年,带实芯弯曲段和矫直段的板坯连铸机于德国Dillingen AG公司投入运
行。1968年,第一台带有直弧型结晶器和液芯弯曲段的连铸机在VOEST—Alpine/奥地利(voestalpine和西门子奥钢联的前身)投入运行。早在1972年,第一台带液芯弯曲段和矫直段的西门子奥钢联板坯连铸机已经开始运行。从此,由于冶金长度、建筑高度和投资成本不再相联系,一场将拉坯速度最大化的竞赛就开始了。设计和自动化方面引入的诸多改进使得连铸机更灵活、维护更方便,产品质量更好。图11阐释了设计概念的历史演变。

Dillingen再次迈出了超厚板坯连铸的第一步。1998年,最大连铸厚度为400 mm的双流板坯连铸机CC5投入运行。从设计角度看,CC5的基本构思是CC3和CC4的翻版,其特点是长垂直段及实芯弯曲段和矫直段[8]。又经过大约十年的发展,全球连铸机技术领域才逐渐接受这一概念。
浦项制铁公司(POSCO),韩国最成功、最具创新性的钢铁厂商,选择长期设计合作伙伴西门子奥钢联来开发出一种适合400mm板坯厚度的新板坯连铸机方案。基于大量的数值模拟,从而采用了液芯弯曲理念取代Dillingen方案。为此,连铸机配有一个弯曲段和一个分段的连铸弧形段。与带弧形结晶器的连铸机相比,立式机架提高了垂直长度,从而提高了非金属夹杂物的分离程度[9]。完全凝固后,对铸流进行矫直(请参阅图12)。16米大弧形段半径是垂直高度和冶金长度之间的一个良好折衷。需要双流来达到130万吨的年生产能力。该独特的连铸机将于2010年投入运行。

几乎同时,板材制造商voestalpine Grobblech(“本公司客户的客户”)促使其板坯供应商voestalpine Stahl公司交付更大的板坯,特别是要比现有285彻更厚。除冶金原因以外,voestalpine Grobblech公司还看到了在能轧制具有更大厚度和重量的板坯情况下提高现有中厚板轧机生产能力和产品范围的巨大潜力。
比较安装新连铸机和升级现有CC5之间的结果是西门子奥钢联得到订单将最大连铸厚度提高到355 mm。做出此决策主要是考虑到,建设工期短以及投资预算相对较低。2007年6月一 Dillingen公司引入400 mm厚连铸之后的又一个十年 — 带直弧型结晶器和液芯矫直段的板坯连铸机生产出第一批355 mm厚板坯[10],请参阅图13和14。


图14:voestal pi ne CC5生产出的355 mm厚板坯
基于厚板坯连铸领域(从典型的250 mm到350rnm)的良好经验,西门子奥钢联提供一种可生产400 mm厚板坯的最新型板坯连铸机,请参阅图15中的方案3。全球范围内,此新颖方案是在成熟的设备、技术和操作基础上的现代连铸机产品的扩展。选择11米弧段半径是最好的折衷方案,可同时满足连铸机设计方面和产品质量的基本要求。
不同于其他方案,超厚板坯连铸仍然采用了“矫直塑性槽上方铸流”这一广泛使用的方法。因此,操作惯例(例如,速度、冷却、保护渣等)众所周知,有大量经验可供借鉴。除此之外,设备处理和维护工作类似于现代连铸机。成熟技术工艺包的应用有助于满足对顶级质量板坯的需求。
一套用于正确铸流温度控制、可对喷水宽度进行修正(SsIMETALCIS 3D喷水)的动态冷却系统(SIMETALCIS Dynacs)可确保良好的表面质量。外围冷却辊的安装可实现下部各段的高温运行。SIMETALCIS Smart Segments不仅能实现快速厚度变化,而且能采用改善板坯芯部质量的动态轻压下技术(SIMETALCIS DynaGap Soft Reduction®)。
5.400 mm厚板坯连铸机展望
今天看来,好像“本公司客户的客户” 一 中厚板轧机运营商一是迈向超厚板坯生产的促成者。其主要关注,采用正常压下率生产出更厚的板材,或常规厚度的高难板材(轧制过程中需要高压下率)。厚钢板市场在近年来不断扩大,特别是优质管线管,酸性环境用钢板和极高强度的高压输气管线用钢 一 所有这些均具有优异的焊接特性[11]、[12]和[13]。
再次, (如前所述)三个主要概念用于厚板坯连铸机,请参阅图15。

图15:超厚板坯连铸的三个概念
更高拉坯速度(其约为其他方案的两倍),可实现高生产率,并有助于保持铸流高温。但最显著的是,连铸机成为一种高性能连铸机。因此,要达到大约130万吨年产量,只需要安装一流即可,而其他方案则需要二流或三流。因此,投资成本显著降低,而且建筑高度更低。
6.结论
西门子奥钢联连铸技术会根据工业环境中的不断变化既考虑到设备使用者的传统问题又会考虑到市场的新挑战。三个不同案例展示了不同设计及其实践结果,涵盖到高度复杂的控制系统建模、实践中很重要的小型解决方案和突破现有限制的新颖方案。
7.展望
客户和市场正驱动着连铸领域的多样化发展。不论现在还是将来,西门子奥钢联都将迎接挑战,提供最佳的产品和解决方案。
8.致谢
作者对由奥地利经济和劳动部对在克里斯蒂安多普勒实验室下所完成的部分工作提供的基金表示衷心感谢。
参考文献
[1]F1ick A.: Siemens VAI’S next generation casting technology for ultimate productivity and flexibility,Metec 2007,Düsseldorf, Germany

- 上一篇:对薄板连铸坯边部裂纹的探讨 下一篇:国产宽厚板坯连铸机的技术特点及工艺实
- [腾讯]
- 关键字:无

加入收藏
首页



