加入收藏
专家库
首页
技术文献
炼铁技术
高炉工艺
其他工艺
炼钢技术
精炼技术
连铸技术
转炉炼钢
电炉炼钢
其他工艺
轧钢技术
热轧工艺
冷轧工艺
其他工艺
烧结球团
球团工艺
烧结工艺
重机技术
轧辊
其他工艺
焊接
铸锻技术
金属材料
新材料新工艺
材料使用
钢铁材料
节能环保
资源环保
节能减排
自动控制
铁合金
国外技术
耐火材料
企业管理
新技术
焦化技术
设备文献
综合其他
数据指标
冶金交流中心指标
高炉
烧结
炼钢
经济指标
炼铁指标
炼钢指标
烧结球团指标
轧钢指标
焦炉指标
生产统计
营销统计
进出口统计
库存统计
国外生产统计
国内生产统计
会议资料
炼铁会议
炼钢会议
轧钢会议
钢铁年会
冶金交流中心会议专题
重机会议
市场行情
钢材行情
每日行情
每日分析
价格汇总
一周综述
炉料行情
每日行情
每日分析
一周综述
价格汇总
企业信息
钢厂动态
钢厂装备检修
出厂价格
调价信息
钢厂采购
产能发展
新闻资讯
行业焦点
行业相关
国际钢铁
宏观经济
市场走势解析
冶金技术
设备推广
新设备推
现场服务
专家
招聘
问吧
客服热线:
0311-85395669
资讯电话:
139-32128-146
152-30111-569
客服电话:
0311-85395669
首页
/
冶金交流中心
/
企业信息
>
企业信息
>
调价信息
>
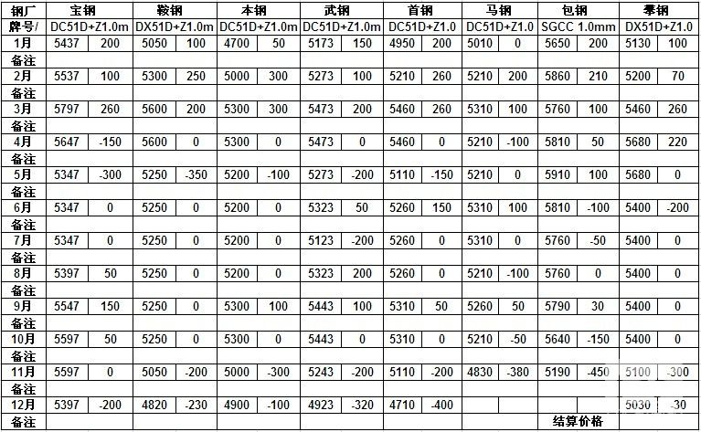
2011年镀锌长流程钢厂出厂价格汇总
浏览:
次
|
评论:
0
条
[收藏]
[评论]
以上价格均为不含税价3
分享到:
新浪微博
QQ空间
腾讯微博
人人网
微信
开心网
腾讯朋友
百度贴吧
以上价格均为不含税价3
延伸阅读
[调价信息]
2011年11月武钢股份部分产品销售价格调整政策
[调价信息]
2011年11月份武钢股份部分冷轧产品价格及政策调整的通知
[调价信息]
11月1日包钢11月建筑钢材订货价格政策
[调价信息]
11月2日水钢对重庆建筑钢材执行价格调整信息
[调价信息]
11月2日新抚钢对大连市场建筑钢材出厂价格调整信息
[调价信息]
11月2日天津仁翼钢铁型材出厂价格调整信息
[调价信息]
11月2日南极光出台11月上旬热基镀锌价格调整信息
上一篇:
11月29日安钢对中厚板产品价格调整信息
下一篇:
9月27日山西黎城太行钢厂兰州市场建筑钢材价格调整信息
分享到:
[腾讯]
关键字:
11月
28日
安阳
返回调价信息
快速导航:
冶金交流中心数据指标
企业信息
现场技术服务
冶金工匠智库
设备推广
特约嘉宾
经济技术文献
钢厂必备
炼钢节能技术
公告中心
招聘
调价信息排行榜
天
周
月
4月中旬河北钢铁集团邯钢公司品种线…
4月21日常州东方特钢部分优钢调价信息
7月5日山西立恒建筑钢材价格信息
11月13日山西黎城太行钢厂建筑钢材价…
1月4日辛集澳森钢铁线材调价信息
4月30日唐山旭日(佑维)螺纹钢涨价…
11月26日山东钢铁集团莱钢公司部分产…
12月30日山西黎城太行钢厂建筑钢材价…
12月3日唐山前进建筑钢材调价信息
12月3日昆钢建筑钢材价格调整信息
7月1日沙钢出台7月上旬建材价格调整…